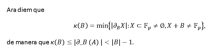
text desenvolupa fórmules en línia Torna al lloc